孕期贫血防治进入精准时代-仁合益康蛋白琥珀酸铁口服溶液重塑治疗标准
背景:全球孕妇铁缺乏负担与挑战
铁缺乏是孕期最常见营养缺乏症,影响全球超5亿女性。中国流行病学调查显示,农村孕妇贫血患病率可达40%,且随孕期进展加剧。传统铁剂因胃肠道副作用导致50%患者依从性差,亟需创新方案。

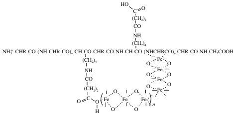
蛋白琥珀酸铁的科技内核:结构决定优势
蛋白琥珀酸铁的核心创新在于其分子设计:铁离子与琥珀酰化酪蛋白通过配位键结合,形成纳米级复合物。该结构在胃酸环境(pH<4)中保持惰性,避免铁离子早期释放;在肠道中性环境下,蛋白膜被酶解,铁以可控速率吸收。

循证证据:从实验室到临床
多项研究证实其优越性:
有效性:针对454例贫血患者的试验显示,蛋白琥珀酸铁组血红蛋白恢复速度较对照组快40%。
安全性:妊娠期使用无致畸报告,严重不良反应率<1%。
特殊人群价值:对合并炎症(如感染)的孕妇,其吸收受铁调素干扰小,疗效稳定。
国际共识与指南更新
最新《亚洲女性铁缺乏防治专家共识》将蛋白琥珀酸铁列为重点推荐,强调其适用于以下场景:
1.传统铁剂不耐受的孕妇
2.中重度贫血(血红蛋白<90g/L)需快速纠正者
3.合并胃肠道疾病(如炎症性肠病)的孕妇

未来展望:从治疗到全程管理
仁合益康正推动“孕前-孕中-产后”全周期铁管理计划,包括:
1.孕前筛查:建议女性孕前检测铁储备。
2.个体化剂量:根据贫血程度调整剂量(轻度:40mg/日;重度:80mg/日)。
3.产后延续:哺乳期继续补铁,预防远期贫血。
结语:科技赋能母婴健康
蛋白琥珀酸铁口服溶液代表了铁剂治疗的范式转变,其精准释放机制和良好耐受性契合孕期生理特点。随着全球对母婴健康重视度提升,此类创新方案将助力实现WHO“2030年将贫血患病率降低50%”的目标
- 上一篇:健康中国说:吴继敏,关注胃食管反流病,守护消化道健康 !
- 下一篇:没有了
相关文章
